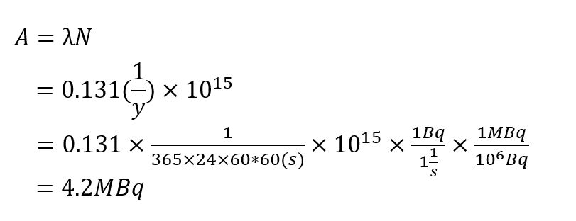
1.
的原子數目為
個,則其活度應為多少 MBq? (
的蛻變常數為 0.131
)
(A) 0.131
(B) 0.693
(C) 4.2
(D) 22.3
答案:登入後查看
統計: A(40), B(64), C(127), D(18), E(0) #3294771
統計: A(40), B(64), C(127), D(18), E(0) #3294771
詳解 (共 1 筆)
#6232413

6
0