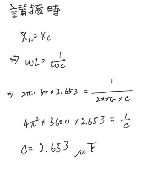
10.於 L-C 串聯電路中,若 L = 2.653 H,且與 C 串聯接於 60 Hz 之電源,今欲改變電容量使達到共振,請問電容器 C 之值應調整為下列何者?
(A) 1.625 μF
(B) 2.358 μF
(C) 2.653 μF
(D) 3.25 μF
答案:登入後查看
統計: A(0), B(0), C(1), D(0), E(0) #3504223
統計: A(0), B(0), C(1), D(0), E(0) #3504223
