試卷名稱:114年 - 114 國立清華大學學士後醫學系單獨招生考試_學士後醫學系/智慧資訊科技組:資訊科學#135660
年份:114年
科目:學士後西醫◆資訊科學
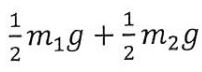
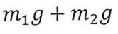
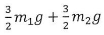
10. Two uniform ladders, both of length L, are hinged at point A and tied together by a horizontal rope at its center. The angle between the ladders is 90 degree. The ladders have mass m₁ and m₂ respectively. Assume the floor is frictionless. Find the tension in the rope.
(A)
(B) 
(C) 
(D) 2m₁g + 2m₂g
(E) 0