試卷名稱:114年 - 114 國立清華大學學士後醫學系單獨招生考試_學士後醫學系/智慧資訊科技組:資訊科學#135660
年份:114年
科目:學士後西醫◆資訊科學
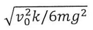
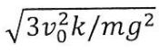
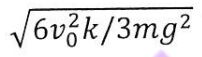
2. Two masses m₁ and m₂ placed on a flat surface are connected by a spring of a spring constant k aligning in the x direction; see figure below. Initially, the spring is at its natural length (no compression/extension), and m₁ is at rest while m₂ moves with a velocity
in the +x direction. Since there is friction, these masses will eventually stop moving. Assume these two masses are identical, m₁ = m₂ = m, and the gravitational strength is g. What is the minimum friction coefficient required so that m₁ never moves during the slowdown motion of m₂? For simplicity, assume the kinetic and static friction coefficients are the same.
(A) 
(B) 
(C) 
(D) 
(E) None of the above