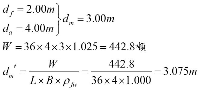
11.一箱型船長36公尺,4公尺寬,浮於海水(1.025),水尺F:2.00m,A:4.00m,若該船駛
入淡水水域,求其新平均水尺是多少公尺?
(A)3.075
(B)3.175
(C)3.275
(D)3.375
答案:登入後查看
統計: A(20), B(12), C(8), D(0), E(0) #1205182
統計: A(20), B(12), C(8), D(0), E(0) #1205182
