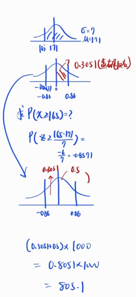
17.某大學新入學的 1000 個男學生,平均身高為 171 公分,標準差為 7 公分,
且其數據依循常態分佈。衛生保健組希望知道學校裡高於 165 公分以上的男生
有多少人,請您幫忙算一算身高高於 165 公分的約有幾人?
(A) 195 人
(B) 305 人
(C) 695 人
(D) 805 人
答案:登入後查看
統計: A(0), B(1), C(3), D(1), E(0) #2748603
統計: A(0), B(1), C(3), D(1), E(0) #2748603
詳解 (共 2 筆)
#5460039
求詳解
0
0
#6343243

0
0