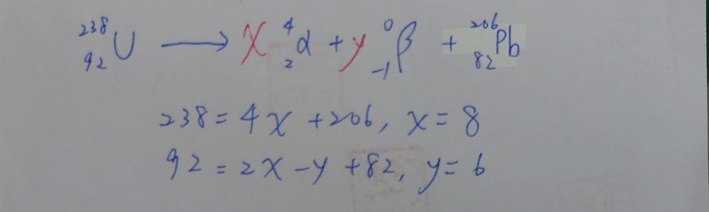
18.放射性元素
蛻變成
總共經過幾次α 衰變,幾次β 衰變?(α 粒子為氦原子 核;β 粒子為電子)
(A) 8 次α 衰變,6 次β 衰變
(B) 8 次α 衰變,8 次β 衰變
(C) 10 次α 衰變,8 次β 衰變
(D) 10 次α 衰變,10 次β 衰變
答案:登入後查看
統計: A(281), B(10), C(5), D(4), E(0) #1978646
統計: A(281), B(10), C(5), D(4), E(0) #1978646
詳解 (共 2 筆)
#5477033

3
0
#3883801
101年 - 101年 - 慈濟大學 101 學年度學士後中醫學系招生-化學科#75518 #75518 --46題
題目有缺漏
0
0