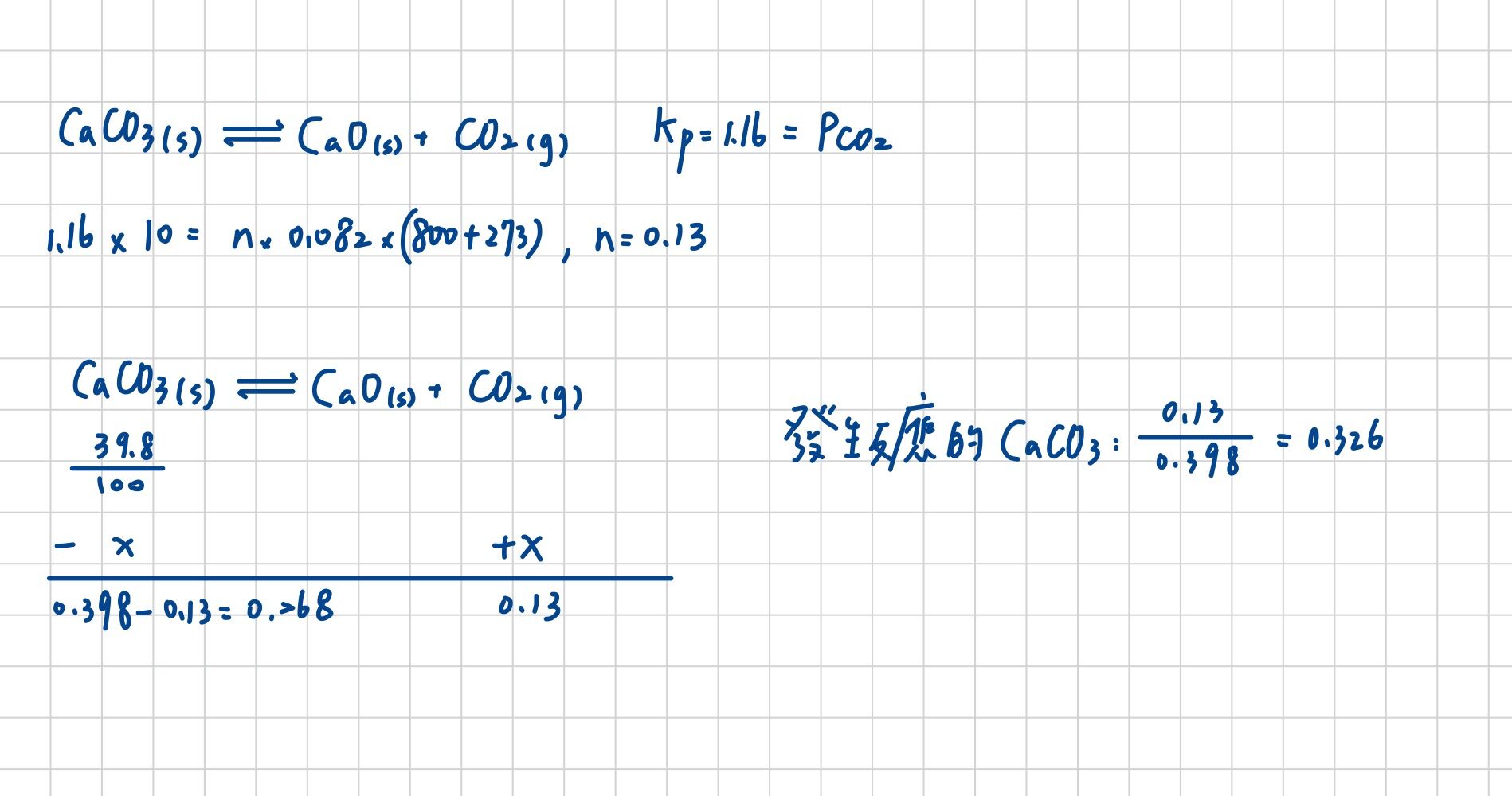
18. 以下反應的平衡常數在攝氏 800 度時為 Kp = 1.16,CaCO3(s) ⇌ CaO(s) + CO2(g) 如果將 39.8 克的 CaCO3 放入一個 10.0 升的容器中並加熱至 800°C,達到平衡時會有多少百分比的 CaCO3 發生反應?
(A) 17.1%
(B) 33.1%
(C) 44.4%
(D) 100%
答案:登入後查看
統計: A(5), B(37), C(8), D(8), E(0) #3506540
統計: A(5), B(37), C(8), D(8), E(0) #3506540
詳解 (共 3 筆)
#7296823

1
0