阿摩線上測驗 登入

試題詳解

試卷:110年 - 110 大學入學考試中心_指定科目考試:物理#99967 | 科目:高中指考◆物理

試卷資訊

試卷名稱:110年 - 110 大學入學考試中心_指定科目考試:物理#99967

年份:110年

科目:高中指考◆物理

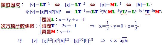
2.假設在水波槽中,與水波波速可能有關的物理量為重力加速 度 g 、水的密度  與 水 深 D 。 若 僅 以 上 述 三 個 物 理 量 的 因 次 來 判 斷 波 速 v , 則 下 列 何 者 正 確 ?
(A) v 正比於 gD
(B) v 正比於 ρgD
(C) v 正比於 6101fc79ece44.jpg
(D) v 正比於 6101fca081d92.jpg
(E) v 正比於 6101fcf5eb830.jpg

正確答案:登入後查看

詳解 (共 1 筆)

推薦的詳解#4968180
未解鎖


(共 1 字,隱藏中)
前往觀看
2
0