阿摩線上測驗
登入
首頁
>
專技◆航海◆貨物作業(概要)
>
100年 - 100年一等船副 貨物作業#15895
> 試題詳解
試題詳解
試卷:
100年 - 100年一等船副 貨物作業#15895 |
科目:
專技◆航海◆貨物作業(概要)
試卷資訊
試卷名稱:
100年 - 100年一等船副 貨物作業#15895
年份:
100年
科目:
專技◆航海◆貨物作業(概要)
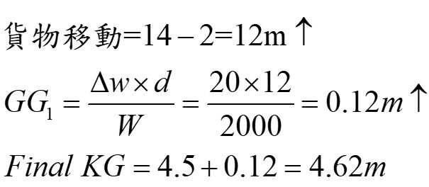
20.某船排水量2,000噸,KG=4.5公尺,一貨重20噸在下大艙其重心2公尺,該物用吊桿吊離艙底板0.5公尺,吊桿頂距龍骨14公尺,求船舶新KG是多少公尺?
(A)4.22
(B)4.42
(C)4.62
(D)4.82
正確答案:
登入後查看
詳解 (共 1 筆)
小楓葉
B1 · 2020/11/07
推薦的詳解#4362454
未解鎖
14-2=1220*12/2000=0....
(共 37 字,隱藏中)
前往觀看
3
0
私人筆記 (共 1 筆)
buttfucker3000
2024/01/31
私人筆記#5743539
未解鎖
某船排水量2,000噸,KG=4.5公尺...
(共 129 字,隱藏中)
前往觀看
1
0