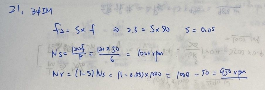
21. 某 6 極、200 V、50 Hz、50 HP 之三相繞線式感應電動機,若測得轉子電流之頻率為 2.5 Hz
,則此電動機之轉速為多少?
(A) 700 rpm
(B) 950 rpm
(C) 1050 rpm
(D) 1800 rpm
答案:登入後查看
統計: A(2), B(382), C(20), D(6), E(0) #2057423
統計: A(2), B(382), C(20), D(6), E(0) #2057423
