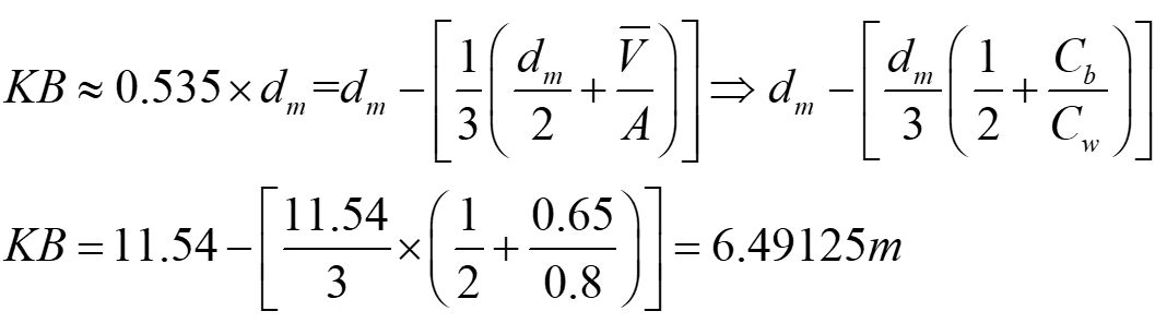
23. 某貨櫃輪的方塊係數為 0.65,水線面積係數為 0.80,平均吃水為 11.54
m,試求該船浮力中心與龍骨間距離(KB)約為何?
(A) 6.15 m
(B) 6.41 m
(C) 6.76 m
(D) 7.12 m
答案:登入後查看
統計: A(55), B(130), C(83), D(42), E(0) #1328876
統計: A(55), B(130), C(83), D(42), E(0) #1328876
