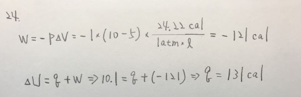
24. 在 1atm 下,某定量單原子理想氣體,從 5升可逆等壓膨脹至10升時,系統的內能變化量 為10.1 卡,則此過程氣體吸收熱量多少卡?(1 atm•L=24.22卡)
(A) 111
(B) 121
(C) 131
(D) 141
答案:登入後查看
統計: A(13), B(22), C(29), D(7), E(0) #2918183
統計: A(13), B(22), C(29), D(7), E(0) #2918183
詳解 (共 1 筆)
#5684684

2
0