阿摩線上測驗
登入
首頁
>
專技◆航海◆貨物作業(概要)
>
113年 - 113-3 航海人員測驗_一等船副:貨物作業#122453
> 試題詳解
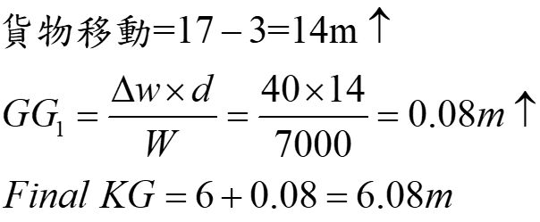
26. 某船排水量7,000噸,KG=6公尺,在下大艙有一物重40噸,其KG=3公尺,當用吊桿吊離艙底板1.5公尺,吊桿頂距龍骨17公尺,求新KG是多少公尺?
(A) 6.08
(B) 6.28
(C) 6.48
(D) 6.68
答案:
登入後查看
統計:
A(219), B(74), C(56), D(11), E(0) #3306328
詳解 (共 2 筆)
DI O
B1 · 2025/06/07
#6463067
本题中货物未离开船舶(仍在吊装中),因此...
(共 91 字,隱藏中)
前往觀看
14
0
馬英精
B2 · 2026/02/17
#7300672
1
0
相關試題
1. 下列何者屬於貨物分類之特殊貨物(Special Cargo)? (A) 礦砂 (B) 原木 (C) 郵件 (D) 穀類
#3306303
2. 下列貨物種類中何者是危險貨物? (A) Dangerous Cargo (B) General Cargo (C) Package Cargo (D) Special Cargo
#3306304
3. IMDG Code之危險品隔離表(Segregation Table)中,所標示之數字"4"係指下列何義? (A) 遠離(Away from) (B) 隔離(Separated from) (C) 以一完整艙間或貨艙隔離(Separated by a complete compartment or hold from) (D) 以介於其間的一完整艙間或貨艙做縱向隔離(Separated longitudinally by an intervening complete compartment or hold from)
#3306305
4. 船舶Sagging時下列何種敘述正確? (A) Sagging是指中垂,船舯部承受向下之壓力大於艏艉 (B) Sagging是指拱曲,船舯部承受向下之壓力大於艏艉 (C) Sagging是指中垂,船舯部承受向下之壓力小於艏艉 (D) Sagging是指拱曲,船舯部承受向下之壓力小於艏艉
#3306306
5. 載運榖類之貨船應符合現行「散裝榖類安全載運國際章程」之規定,係規範於下列何項國際公約中? (A) LL 1966 (B) MARPOL 73/78 (C) SOLAS 1974 (D) UNCLOS 1982
#3306307
6. 穩定中心高度GM與搖擺週期有絕對之關係,若GM值較大,其搖擺週期為下列何者? (A) 較長 (B) 較短 (C) 不變 (D) 無法判斷
#3306308
7. 散裝穀物運輸中,防止貨物濕損,量測時應採何措施? (A) 大艙污水井槽每天定時測深 (B) 室內污水井槽測深管不需加蓋 (C) 天雨時大艙污水井槽才需要量測 (D) 惡劣天候大艙污水井槽才需要量測
#3306309
8. 貨物重量英文專有名詞Deadweight Tonnage,其中文名稱為何? (A) 總噸位 (B) 淨噸位 (C) 排水量 (D) 載重噸
#3306310
9. 從甲板線頂緣至個別載重線頂緣間之垂距,下列何者名稱為正確? (A) 乾舷差 (B) 實際乾舷 (C) 法定乾舷 (D) 最小乾舷
#3306311
10. 剛性船之定傾高 ( Metacentric height) GM 值較大,下列敘述何者錯誤? (A) 回復原來正浮位置較顯著 (B) 貨物易因船體橫搖移動 (C) 船舶初穩度較好 (D) 橫搖週期長人員感覺較舒適
#3306312
相關試卷
114年 - 114-4 航海人員測驗_一等船副:貨物作業#135812
2025 年 · #135812
114年 - 114-3 航海人員測驗_一等船副:貨物作業#130652
2025 年 · #130652
114年 - 114-2 航海人員測驗_一等船副:貨物作業#127557
2025 年 · #127557
114年 - 114-1 航海人員測驗_一等船副:貨物作業#125834
2025 年 · #125834
113年 - 113-1 航海人員測驗_二等船副:貨物作業概要#126051
2024 年 · #126051
113年 - 113-4 航海人員測驗_一等船副:貨物作業#124032
2024 年 · #124032
113年 - 113-3 航海人員測驗_一等船副:貨物作業#122453
2024 年 · #122453
113年 - 113-2 航海人員測驗_一等船副:貨物作業#120145
2024 年 · #120145
113年 - 113-1 航海人員測驗_一等船副:貨物作業#118955
2024 年 · #118955
112年 - 112-1 航海人員測驗_二等船副:貨物作業概要#123315
2023 年 · #123315