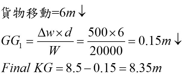
27. 某船排水量20,000噸,KG為8.5公尺,若將500噸貨物垂直向下移動6公尺,則新重心高度
為多少公尺?
(A) 8.15
(B) 8.25
(C) 8.35
(D) 8.45
答案:登入後查看
統計: A(35), B(59), C(314), D(42), E(0) #1777486
統計: A(35), B(59), C(314), D(42), E(0) #1777486
