27. Oil painting typically involves a variety of inorganic pigments. Studies have found that under different humidity and light conditions in air, the fading of the pigment orpiment (As2S3) is mainly due to the following two chemical reactions (I and II):
(A) The structures of S2O32-and SO42-are both tetrahedral.
(B) In both reactions I and II, the elements As and S are oxidized.
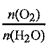
(C) In reactions I and II, the amount of
satisfies: I <II.
(D) In reactions I and II, the ratio of the number of electrons transferred when 1 mole of As2S3 is oxidized is 3:7.
(E) The energy required for reaction I is lower than that for reaction II.
答案:登入後查看
統計: A(0), B(0), C(1), D(1), E(1) #3847803
統計: A(0), B(0), C(1), D(1), E(1) #3847803
