阿摩線上測驗 登入

試題詳解

試卷:114年 - 114 中國醫藥大學_學士後中醫學系入學招生考試:化學#126227 | 科目:學士後中醫◆化學(含普通化學、有機化學)

試卷資訊

試卷名稱:114年 - 114 中國醫藥大學_學士後中醫學系入學招生考試:化學#126227

年份:114年

科目:學士後中醫◆化學(含普通化學、有機化學)

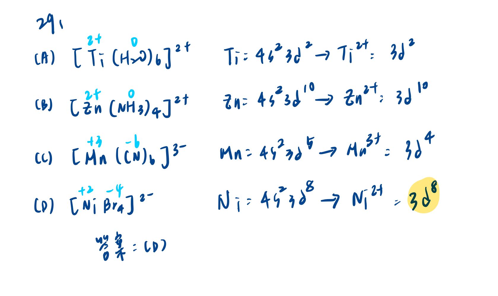
29. 下列哪一個配位化合物中的過渡金屬(transition metal)具有 d8 電子組態(d8 configuration)?
(A)
(B)
(C)
(D)

正確答案:登入後查看