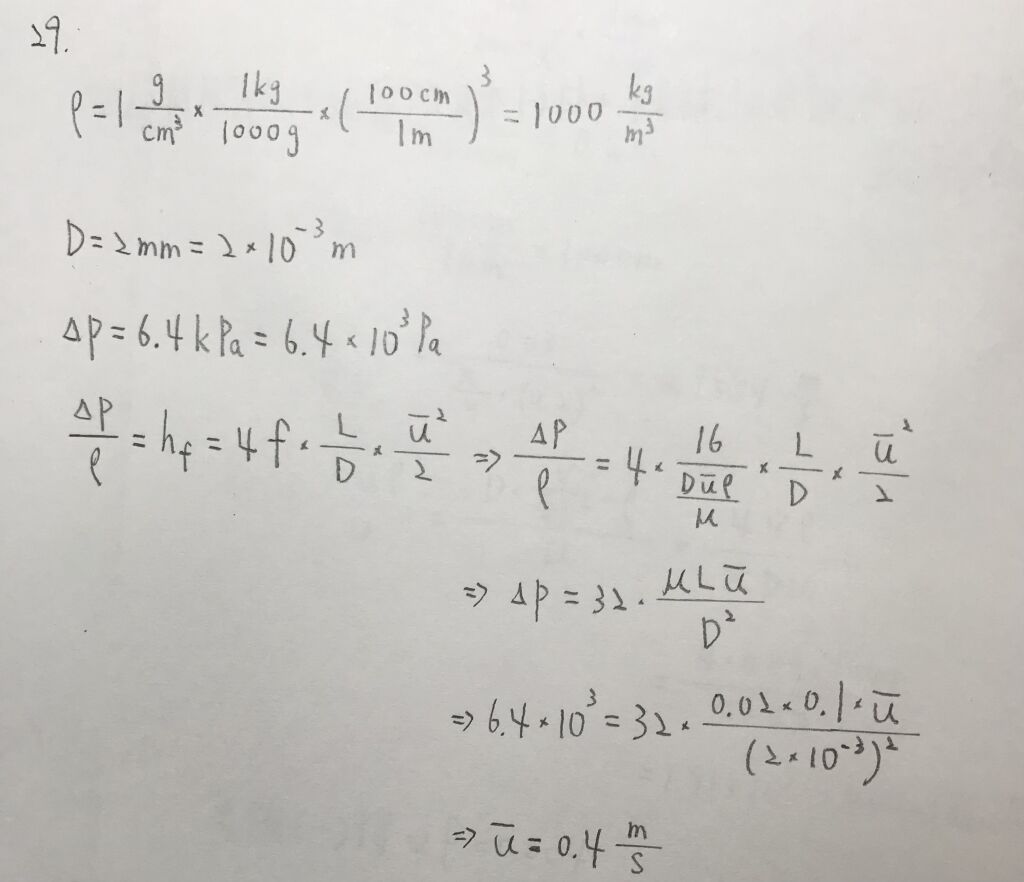
29. 密度為1.0 g/cm3 、黏度為0.02 kg/(m•s)的流體,在穩定狀態下流經一直徑為 2 mm、長度 為10 cm的水平毛細管,當毛細管兩端壓力差為6.4 kPa,液體以層流狀態流經毛細管的速度 為多少 m/s ?
(A) 0.8
(B) 0.6
(C) 0.4
(D) 0.2
答案:登入後查看
統計: A(9), B(18), C(84), D(12), E(0) #2918188
統計: A(9), B(18), C(84), D(12), E(0) #2918188
詳解 (共 1 筆)
#5685286

3
0