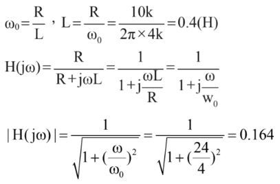
3. 有一個 RL 串聯低通濾波器的截止頻率為 4kHz,假設電阻 R=10kΩ,求電感 L 及 24kHz 時的
│H(jω) │為何?
(A)0.40H,0.164
(B)2.50H,0.707
(C)0.40H,0.707
(D)2.50H,0.164
答案:登入後查看
統計: A(36), B(9), C(5), D(1), E(0) #1736837
統計: A(36), B(9), C(5), D(1), E(0) #1736837
詳解 (共 1 筆)
#4102256

0
0