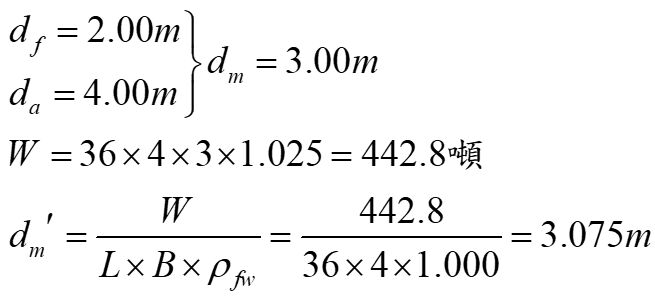
30. 一箱型船長36公尺,4公尺寬,浮於海水(1.025),水尺F:2.00m,A:4.00m,若該船
駛入淡水水域,求其新平均水尺是多少公尺?
(A) 3.075
(B) 3.175
(C) 3.275
(D) 3.375
答案:登入後查看
統計: A(386), B(110), C(68), D(18), E(0) #1854401
統計: A(386), B(110), C(68), D(18), E(0) #1854401
詳解 (共 3 筆)
#7302122

0
0