31. 下列試劑何者最適合用來進行下列的反應?
(A) mCPBA, CH2Cl2
(B) 1. Br2, H2O;2. KOH, H2O
(C) tBuOOH, KOH
(D) 以上皆可
答案:登入後查看
統計: A(91), B(153), C(13), D(93), E(0) #939390
統計: A(91), B(153), C(13), D(93), E(0) #939390
詳解 (共 8 筆)
#5377049

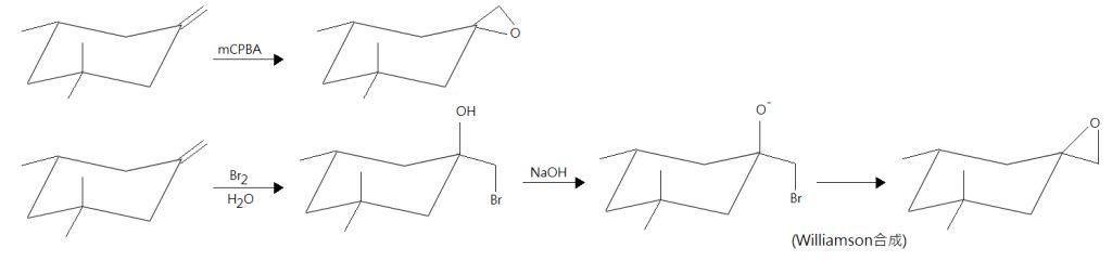
用RCOOOH或mCPBA形成環氧時,O會形成在立障較小
用1.X2/H2O 2.OH-形成環氧時,O會形成在立障較大
23
0
#5492253
(A)mCPBA是過氧酸,跟烯類反應直接形成epoxide,選擇朝向立障小處
(B)選項會在立障小側先行成Br架橋,H2O從反面攻擊,在立障大側接上OH;OH再被後加入的KOH拔氫,形成O-,攻擊C-Br,形成朝向立障大的epoxide

13
1
#5491327
回2F,3F, C選項不是過氧酸,要用過氧酸跟烯反應才能形成Epoxide,如下圖

7
0
#6069732
(C)選項是過氧醇,和過氧酸一樣可以做為氧化劑和烯類反應製造epoxide
(產物立體和A選項一樣,不符合題目要求)
2
0
#4595695
(C) 有跟(A)(B)一樣的O-O鍵(易斷裂),所以也是跟(A)(B)一樣的反應?
只是t-Bu的體積也很大,所以跟(A)一樣會使O朝下?
2
0