阿摩線上測驗
登入
首頁
>
專技 - 藥物分析與生藥學(包括中藥學)
>
104年 - 104-2 專技高考_藥師、藥師(一):藥物分析與生藥學(包括中藥學)#23931
> 試題詳解
試題詳解
試卷:
104年 - 104-2 專技高考_藥師、藥師(一):藥物分析與生藥學(包括中藥學)#23931 |
科目:
專技 - 藥物分析與生藥學(包括中藥學)
試卷資訊
試卷名稱:
104年 - 104-2 專技高考_藥師、藥師(一):藥物分析與生藥學(包括中藥學)#23931
年份:
104年
科目:
專技 - 藥物分析與生藥學(包括中藥學)
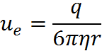
34.下列何者對化合物在毛細管電泳系統中的電泳淌度(electrophoretic mobility, µ
e
)沒有影響?
(A) 離子電荷
(B) 離子半徑
(C) 電泳液黏滯度
(D) 電壓強度
正確答案:
登入後查看
詳解 (共 2 筆)
國考高玩(高端玩家)
B6 · 2019/01/06
推薦的詳解#3146170
未解鎖
V=µe*E(電場)電場的強度取決於電壓...
(共 35 字,隱藏中)
前往觀看
36
0
誠徵有心撰寫二階筆記的綿木蜜雪兒,我會提供20天詳解卡,意者請加好友
B9 · 2025/05/18
推薦的詳解#6424702
未解鎖
毛細管電泳總論 —----------...
(共 12167 字,隱藏中)
前往觀看
2
0