阿摩線上測驗
登入
首頁
>
學士後中醫◆化學(含普通化學、有機化學)
>
101年 - 慈濟大學 101 學年度學士後中醫學系招生-化學科#75518
> 試題詳解
試題詳解
試卷:
101年 - 慈濟大學 101 學年度學士後中醫學系招生-化學科#75518 |
科目:
學士後中醫◆化學(含普通化學、有機化學)
試卷資訊
試卷名稱:
101年 - 慈濟大學 101 學年度學士後中醫學系招生-化學科#75518
年份:
101年
科目:
學士後中醫◆化學(含普通化學、有機化學)
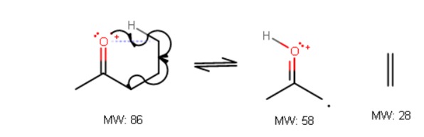
35. 哪一化合物的質譜圖有明顯的片段在 m/z 58 之處?
(A) CH
3
COCH
2
CH
2
CH
3
(B) (CH
3
)
2
CHCOCH
3
(C) CH
3
CH
2
COCH
2
CH
3
(D) (CH
3
)
3
CCHO
正確答案:
登入後查看
詳解 (共 1 筆)
Uanuannnn
B1 · 2019/05/18
推薦的詳解#3357256
未解鎖
McLafferty:有r-Hydrog...
(共 24 字,隱藏中)
前往觀看
11
0
私人筆記 (共 2 筆)
Jay Wu
2019/04/24
私人筆記#1403382
未解鎖
A: M+ : 86, MAcLaffe...
(共 67 字,隱藏中)
前往觀看
4
0
相由心生
2021/07/09
私人筆記#3300599
未解鎖
McLafferty rxn.need ...
(共 43 字,隱藏中)
前往觀看
1
0