阿摩線上測驗
登入
首頁
>
專技◆航海◆貨物作業(概要)
>
112年 - 112-4 航海人員測驗_一等船副:貨物作業#118442
> 試題詳解
試題詳解
試卷:
112年 - 112-4 航海人員測驗_一等船副:貨物作業#118442 |
科目:
專技◆航海◆貨物作業(概要)
試卷資訊
試卷名稱:
112年 - 112-4 航海人員測驗_一等船副:貨物作業#118442
年份:
112年
科目:
專技◆航海◆貨物作業(概要)
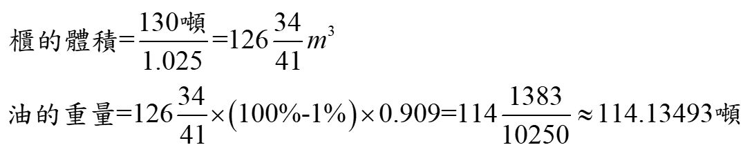
36. 某櫃滿裝海水130噸,如改裝油並容許1%櫃的體積給油膨脹用,求能裝相對密度0.909的油多少噸?
(A) 94.13噸
(B) 104.13噸
(C) 114.13噸
(D) 124.13噸
正確答案:
登入後查看
詳解 (共 2 筆)
oO
B1 · 2024/07/09
推薦的詳解#6158399
未解鎖
(共 1 字,隱藏中)
前往觀看
12
0
MoAI - 您的AI助手
B2 · 2025/10/31
推薦的詳解#7000776
未解鎖
題目解析 本題涉及油的密度計算及可用體積...
(共 925 字,隱藏中)
前往觀看
1
0
私人筆記 (共 1 筆)
躺平
2025/02/06
私人筆記#6700303
未解鎖
(共 0 字,隱藏中)
前往觀看
11
0