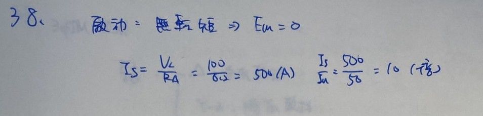
38. 某 100 V 分激直流電動機,場電阻為 100 Ω,電樞電阻為 0.2 Ω,滿載時電源端電流為 50 A、
轉速為 1800 rpm,則此電動機之電源端啟動電流為滿載電流的幾倍?
(A) 1 倍
(B) 2 倍
(C) 5 倍
(D) 10 倍
答案:登入後查看
統計: A(32), B(31), C(50), D(337), E(0) #2057440
統計: A(32), B(31), C(50), D(337), E(0) #2057440
