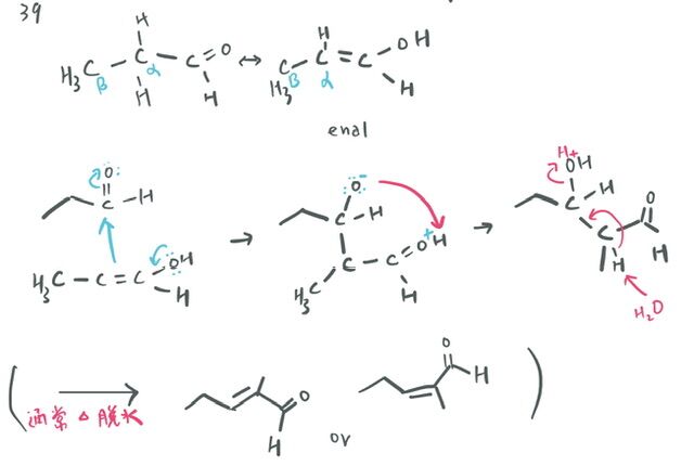
39. 在酸催化條件下,丙醛分子進行自身醛醇縮合反應 (self aldol condensation),生成化合物的結構爲:
(A) 
(B) 
(C) 
(D) 
答案:登入後查看
統計: A(21), B(16), C(296), D(26), E(0) #1822169
統計: A(21), B(16), C(296), D(26), E(0) #1822169
