阿摩線上測驗
登入
首頁
>
教甄◆電腦科專業
>
104年 - 教育部公立高中教甄-資訊科技概論/資料處理科#21169
> 試題詳解
試題詳解
試卷:
104年 - 教育部公立高中教甄-資訊科技概論/資料處理科#21169 |
科目:
教甄◆電腦科專業
試卷資訊
試卷名稱:
104年 - 教育部公立高中教甄-資訊科技概論/資料處理科#21169
年份:
104年
科目:
教甄◆電腦科專業
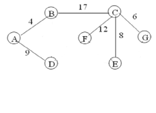
4.請根據下面圖形建立其最小成本擴張樹(minimum cost spanning tree),使其權重總和為最小 ,請問此最小成本擴張樹的權重總和為多少?
(A)58
(B)56
(C)54
(D)52。
正確答案:
登入後查看