阿摩線上測驗
登入
首頁
>
專技◆航海◆貨物作業(概要)
>
111年 - 111-4 航海人員測驗_一等船副:貨物作業#112161
> 試題詳解
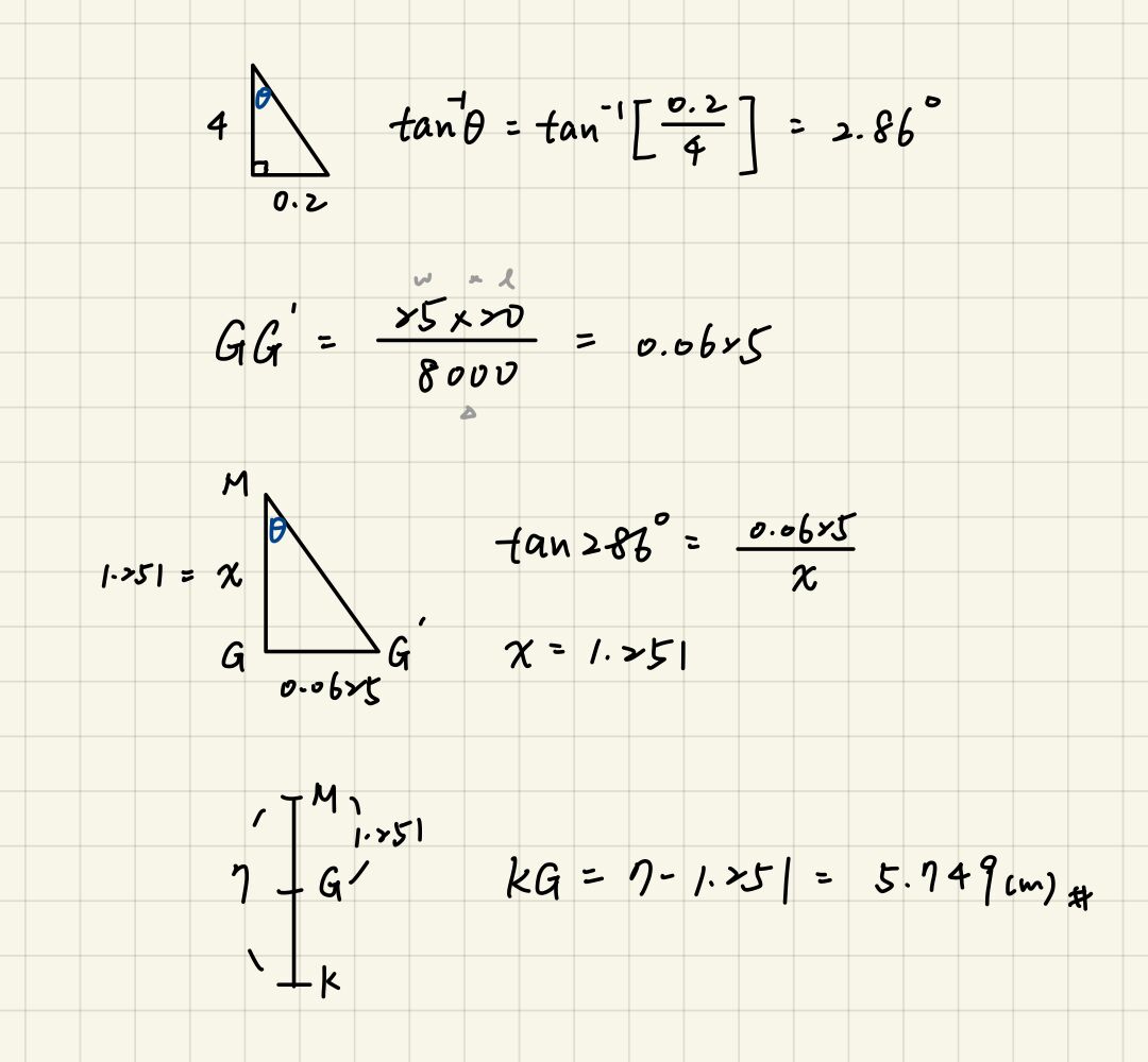
40. 某船排水量8,000公噸,KM=7公尺。進行傾側試驗,將25公噸重物,水平橫移20公尺,使 4公尺長垂擺下端偏移20公分,求KG多少公尺?
(A) 5.0
(B) 5.25
(C) 5.5
(D) 5.75
答案:
登入後查看
統計:
A(36), B(172), C(81), D(340), E(0) #3033280
詳解 (共 4 筆)
patty88.hung
B1 · 2023/02/26
#5732003
(共 1 字,隱藏中)
前往觀看
15
0
lee1way.com
B2 · 2024/02/21
#6031903
(共 1 字,隱藏中)
前往觀看
10
0
164-1榜首
B4 · 2024/08/12
#6189986
(共 1 字,隱藏中)
前往觀看
7
0
kebab
B3 · 2024/03/09
#6042145
3
0
相關試題
1. 貨物標誌中This side up是屬於何種標誌? (A) 貿易標誌 (B) 港口標誌 (C) 處理標誌 (D) 危險警告標誌
#3033241
2. 貨物標誌如附圖,是屬於下列何種標誌? (A) 商標標誌 (B) 貿易標誌 (C) 港口標誌 (D) 處理標誌
#3033242
3. 某船排水量15000噸,裝150噸淡水,1000噸油料,300噸補給,今欲裝載小麥(S.F. 55立方 呎/噸),貨艙容積540000立方呎,求出貨艙實際可載重量為多少? (A) 8798.2噸 (B) 9248.2噸 (C) 9818.2噸 (D) 11248.2噸
#3033243
4. 依據IMDG Code之規範,危險貨物包裝件之間的隔離(Segregation of Packages)若應採取「 遠離(Away from)」方式,其間水平隔離距離(以垂直投影求得)應至少達幾公尺? (A) 3公尺 (B) 4公尺 (C) 5公尺 (D) 6公尺
#3033244
5. 依據IMDG Code之規範,危險貨物包裝件之間的隔離(Segregation of Packages)若應採取「 隔離(Separated from)」方式,且積載於甲板上時,其間水平隔離距離應至少達幾公尺? (A) 3公尺 (B) 4公尺 (C) 5公尺 (D) 6公尺
#3033245
6. 穀物裝運過程中,貨物裝載產生傾側和平正裝載的影響為何? (A) 兩者的效益相同 (B) 傾側裝載將使穩度提高 (C) 平正裝載將使穩度提高 (D) 船舶傾側不影響穩定高度
#3033246
7. 下列那一項為大型貨櫃船主要特徵? (A) 艙口為最大可能之寬大艙口,以獲得甲板下最大之貨物運輸容量及貨櫃裝卸之便利 (B) 懸臂吊桿裝在船尾艉板處 (C) 吊上吊下型貨櫃船,在艙內貨櫃亦可水平橫向移動 (D) 有一橫跨兩側甲板滑軌上之重型橋式超重機,可以在船頭貨艙至船尾間移動
#3033247
8. 某船之艏吃水10m,艉吃水11m,今欲裝貨若干使艏艉吃水均為11m,已知該船之TPC為25,MTC為500,求應於俯仰中心之前何處裝貨? (A) 35m (B) 40m (C) 45m (D) 50m
#3033248
9. 礦砂之特性,下列何者正確? (A) 靜止角大,移動性大 (B) 靜止角大,移動性小 (C) 靜止角小,移動性小 (D) 靜止角小,移動性大
#3033249
10. 水果、蔬菜貨物之裝載,其腐敗的主要原因為何? (A) 呼吸作用 (B) 化學作用 (C) 光害作用 (D) 排汗作用
#3033250
相關試卷
114年 - 114-4 航海人員測驗_一等船副:貨物作業#135812
2025 年 · #135812
114年 - 114-3 航海人員測驗_一等船副:貨物作業#130652
2025 年 · #130652
114年 - 114-2 航海人員測驗_一等船副:貨物作業#127557
2025 年 · #127557
114年 - 114-1 航海人員測驗_一等船副:貨物作業#125834
2025 年 · #125834
113年 - 113-1 航海人員測驗_二等船副:貨物作業概要#126051
2024 年 · #126051
113年 - 113-4 航海人員測驗_一等船副:貨物作業#124032
2024 年 · #124032
113年 - 113-3 航海人員測驗_一等船副:貨物作業#122453
2024 年 · #122453
113年 - 113-2 航海人員測驗_一等船副:貨物作業#120145
2024 年 · #120145
113年 - 113-1 航海人員測驗_一等船副:貨物作業#118955
2024 年 · #118955
112年 - 112-1 航海人員測驗_二等船副:貨物作業概要#123315
2023 年 · #123315