阿摩線上測驗
登入
首頁
>
學士後中醫◆化學(含普通化學、有機化學)
>
107年 - 義守大學 107 學年度 學士後中醫學系 入學招生考試試題-化學#69825
> 試題詳解
試題詳解
試卷:
107年 - 義守大學 107 學年度 學士後中醫學系 入學招生考試試題-化學#69825 |
科目:
學士後中醫◆化學(含普通化學、有機化學)
試卷資訊
試卷名稱:
107年 - 義守大學 107 學年度 學士後中醫學系 入學招生考試試題-化學#69825
年份:
107年
科目:
學士後中醫◆化學(含普通化學、有機化學)
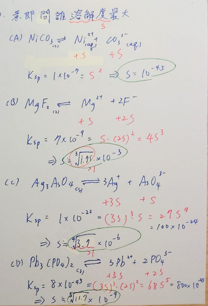
42. 欲溶解相同莫耳數的下列鹽類,何者需水量最少?
(A) NiCO
3
(K
sp
= 1 x 10
-7
)
(B) MgF
2
(K
sp
= 7 x 10
-9
)
(C) Ag
3
AsO
4
(K
sp
= 1 x 10
-22
)
(D) Pb
3
(PO
4
)
2
(K
sp
= 8 x 10
-43
)
正確答案:
登入後查看
詳解 (共 3 筆)
yuanyuan
B1 · 2018/07/18
推薦的詳解#2923667
未解鎖
A ksp=s^2 B ksp=4S^...
(共 140 字,隱藏中)
前往觀看
14
0
nomercyjack
B4 · 2025/12/05
推薦的詳解#7197767
未解鎖
判斷溶解相同莫耳數的鹽類所需水量最少,...
(共 757 字,隱藏中)
前往觀看
0
0
wouldworld
B2 · 2021/08/04
推薦的詳解#4975194
未解鎖
融解度,和電荷差,是有關係的 先看各式...
(共 421 字,隱藏中)
前往觀看
0
1
私人筆記 (共 2 筆)
王佳萱(已考上:)謝謝阿模前輩們的精華!
2022/02/20
私人筆記#3925077
未解鎖
(共 0 字,隱藏中)
前往觀看
3
0
養樂多(MT112、後中上榜)
2025/03/07
私人筆記#6772138
未解鎖
(共 2 字,隱藏中)
前往觀看
3
0