阿摩線上測驗
登入
首頁
>
警專◆乙組數學
>
111年 - 111 臺灣警察專科學校_專科警員班第 33 期正期學生組:乙組數學#18934
> 試題詳解
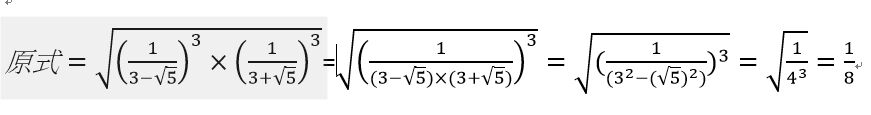
5. 化簡
之值為
(A) 1/ 8
(B) 2√2
(C) 4
(D) 8 。
答案:
登入後查看
統計:
A(96), B(38), C(28), D(9), E(0) #711536
詳解 (共 4 筆)
羅雲浩
B4 · 2022/10/02
#5623508
(共 1 字,隱藏中)
前往觀看
5
0
【站僕】摩檸Morning.
B2 · 2015/01/27
#981319
原本題目:5. 化簡之值為 (A) 1...
(共 95 字,隱藏中)
前往觀看
0
0
tomkim8812
B5 · 2022/11/12
#5656663
0
0
Flywheel Morcdes
B1 · 2015/01/18
#977313
有疑問!!!修改
(A)1/8
(B)2√2
0
0
相關試題
1. 設a, b均為實數且滿足 ,則a + b= (A) 3 (B) 4 (C) 5 (D) 6 。
#711532
2. 最接近哪一個正整數?(A)3 (B) 4 (C) 5 (D) 6 。
#711533
3. 將 y=2x2+4x+1的圖形向左平移 2 個單位,再往上平移 3 個單位,得到函數 y = f( x) 的圖形,則 f ( −2) = (A) 1 (B) 2 (C) 3 (D) 4 。
#711534
4. 若a為實數且i = √−1,已知方程式 x3+ x2 +(i-1)x+a+i=0有實數解,則a = (A) −1 (B) 0 (C) 1 (D) 3 。
#711535
6. 設a> 0,且 a+a-1=4,則 a2+a-2= (A) 8 (B) 14 (C) 16 (D) 18 。
#711537
7. 已知n為正整數且2n 為 100 位數,若log 2 =0.3010 ,則n可能之值為 (A) 320 (B) 330 (C) 340 (D) 350 。
#711538
8. 已知 ,則正整數n之值為 (A) 7 (B) 8 (C) 9 (D) 10 。
#711539
9. 袋內有 3 個相同白球、4 個相同黑球、5 個相同紅球(共 12 個球),每次取一球不放回,依序取 4 次,則恰 取 2 次紅球的機率為
#711540
10. 已知n個數據 x1,x2.....xn 的算術平均數為 25、中位數為 24、全距為 23、標準差為 12。若 yi=-2xi+5 ,其 中i =1, 2, , n 。設 y1,y2.....yn 的算術平均數為a、中位數為b、全距為c、標準差為d,請選出正確的選項。 (A) a = −50 (B) b = −48 (C) c = −41 (D) d = 24 。
#711541
11. 已知有兩個等差數列的第n項之比為(2 n − 3 ):(5 n +3 )﹐則此兩數列的前11項和之比為 (A) 2:5 (B) 3:11 (C) 11:38 (D) 19:58 。
#711542
相關試卷
114年 - 114 臺灣警察專科學校_專科警員班第 44 期正期學生組新生入學考試試題:數學科(乙組)#129086
2025 年 · #129086
113年 - 113 臺灣警察專科學校_專科警員班第 43 期正期學生組新生入學考試:乙組數學科#124570
2024 年 · #124570
112年 - 112 臺灣警察專科學校_專科警員班第42期正期學生組新生入學考試:數學科(乙組)#116875
2023 年 · #116875
111年 - 111 臺灣警察專科學校專科警員班第 41 期正期學生組新生入學考試:數學科(乙組)#110139
2022 年 · #110139
111年 - 111 臺灣警察專科學校_專科警員班第 33 期正期學生組:乙組數學#18934
2022 年 · #18934
110年 - 110 臺灣警察專科學校_專科警員班第 40 期正期學生組:乙組數學#114969
2021 年 · #114969
109年 - 109 臺灣警察專科學校_專科警員班第 39 期正期學生組:乙組數學#85675
2020 年 · #85675
108年 - 108 臺灣警察專科學校_專科警員班第 38 期正期學生組:乙組數學#79161
2019 年 · #79161
107年 - 107 臺灣警察專科學校專科警員班37期正期學生組新生入學考試試題:乙組數學科#98834
2018 年 · #98834
106年 - 106 臺灣警察專科學校警員班36期新生入學考試:乙組數學科#98988
2017 年 · #98988