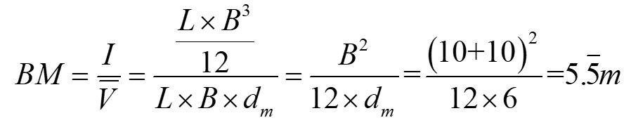
5. 某箱型船之船長為80公尺,船寬10公尺,吃水6公尺,若船寬增加10公尺,求新的穩定中心
半徑BM為幾公尺?
(A) 4.56
(B) 5.56
(C) 6.56
(D) 7.56
答案:登入後查看
統計: A(41), B(357), C(52), D(23), E(0) #1560944
統計: A(41), B(357), C(52), D(23), E(0) #1560944
詳解 (共 5 筆)
#4439901
沒有出不了的題庫,只有實現不了的現實
7
0
#4437748
套公式可以求出解答
但是可以自行增加船寬的船
實在沒碰過
7
0
#7301365

0
0