阿摩線上測驗
登入
首頁
>
教甄◆數學專業
>
106年 - 臺北市106學年度市立國中教師聯合甄選初試-數學科#62049
> 試題詳解
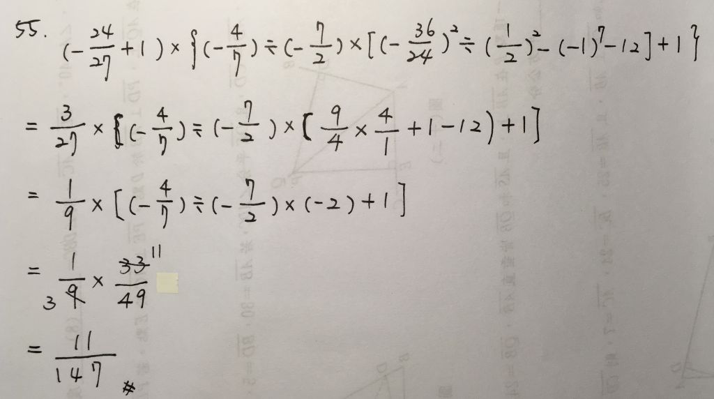
55.
?
(A)
(B)
(C)
(D)
答案:
登入後查看
統計:
A(2), B(47), C(2), D(5), E(0) #1596447
詳解 (共 1 筆)
Flash_Max
B2 · 2019/05/19
#3359671
0
0
相關試題
41. 若 p、q 都是自然數,方程式的兩根都是質數,求55q+9p之值=? (A) 1989 (B) 1971 (C) 1980 (D) 1999
#1596433
42. 解 ,則此方程式的實數解有幾個? (A) 1個 (B) 2個 (C) 3個 (D) 0個
#1596434
43. 若 之值=? (A) 1 (B) -1 (C) 2 (D) -2
#1596435
44. 若 ,求n = ? (A) 8 (B) 16 (C) 32 (D) 4
#1596436
45. 當 x = ,則多項式 之值為何? (A) 32 (B) -32 (C) 1 (D) -1
#1596437
46. 設 ,則將寫成 a 的一次多項式為何? (A) a-2 (B) a-1 (C) a+1 (D) a+2
#1596438
47. 若之值=? (A) 1 (B) -1 (C) 0 (D) 2
#1596439
48. 求=? (A) ±√ 6 (B) √6 (C) ± √2 (D) √2
#1596440
49. 有一個兩位數,它的立方數的個位數與十位數都是 1,求此數=? (A) 41 (B) 51 (C) 61 (D) 71
#1596441
50. 多項式 整除,求m - n 之值=? (A) 7 (B) -3 (C) 3 (D) -7
#1596442
相關試卷
114年 - 114-1 臺北市立松山高級商業家事職業學校_教師甄選題目:數學#138394
2025 年 · #138394
114年 - 114 新北市立國民中學_教師聯合甄選試題: 數學科#127346
2025 年 · #127346
114年 - 114 國立臺灣藝術大學_綜合學科測驗﹕數學#126930
2025 年 · #126930
114年 - 114 國立彰化高級中學_教師甄選初試試題:數學科#126821
2025 年 · #126821
114年 - 114 臺北市立陽明高級中學_正式教師甄選試題:高中數學科#126749
2025 年 · #126749
114年 - 114 國立師大附中_教師甄選︰數學#126229
2025 年 · #126229
113年 - 113 金門縣國民中學正式教師聯合甄選初試試題:數學#120861
2024 年 · #120861
113年 - 113 新北市公立高級中等學校教師聯合甄選試題:數學#120730
2024 年 · #120730
113年 - 113 桃園市國民中學新進教師甄選試題:數學科#120523
2024 年 · #120523
113年 - 113-1 臺中市立文華高級中等學校_教師甄選專業知能試題:數學科#119606
2024 年 · #119606