55. If the five lenses shown below are made of the same material, which lens has the shortest positive focal length?
(A)
(B)
(C) 
(D)
(E)
答案:登入後查看
統計: A(2), B(4), C(1), D(3), E(39) #2020499
統計: A(2), B(4), C(1), D(3), E(39) #2020499
詳解 (共 3 筆)
#6048184

以上是In空氣中 (n=1的狀況)
可見如果r 越小,連帶屈光度 Diopter會越大(f越小)
半徑越小,隨之也會更圓。
ㅤㅤ
折射率不在空氣中的題目。
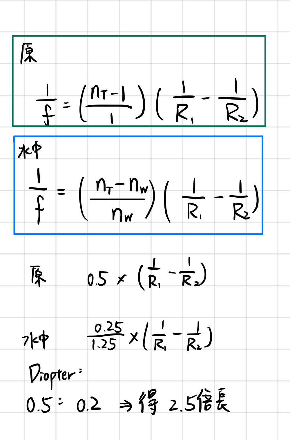
42. A converging glass lens with a refractive index of 1.5 is placed in water with a refractive index of 1.25. How many times of focal length of the lens will be changed in water?
(A) 0.3
(B) 0.8
(C) 1.5
(D) 2
(E) 2.5
ㅤㅤ

0
0