阿摩線上測驗 登入

試題詳解

試卷:113年 - 113-2 專技高考_藥師(一):藥劑學與生物藥劑學#121688 | 科目:專技 - 藥劑學(包括生物藥劑學)

試卷資訊

試卷名稱:113年 - 113-2 專技高考_藥師(一):藥劑學與生物藥劑學#121688

年份:113年

科目:專技 - 藥劑學(包括生物藥劑學)

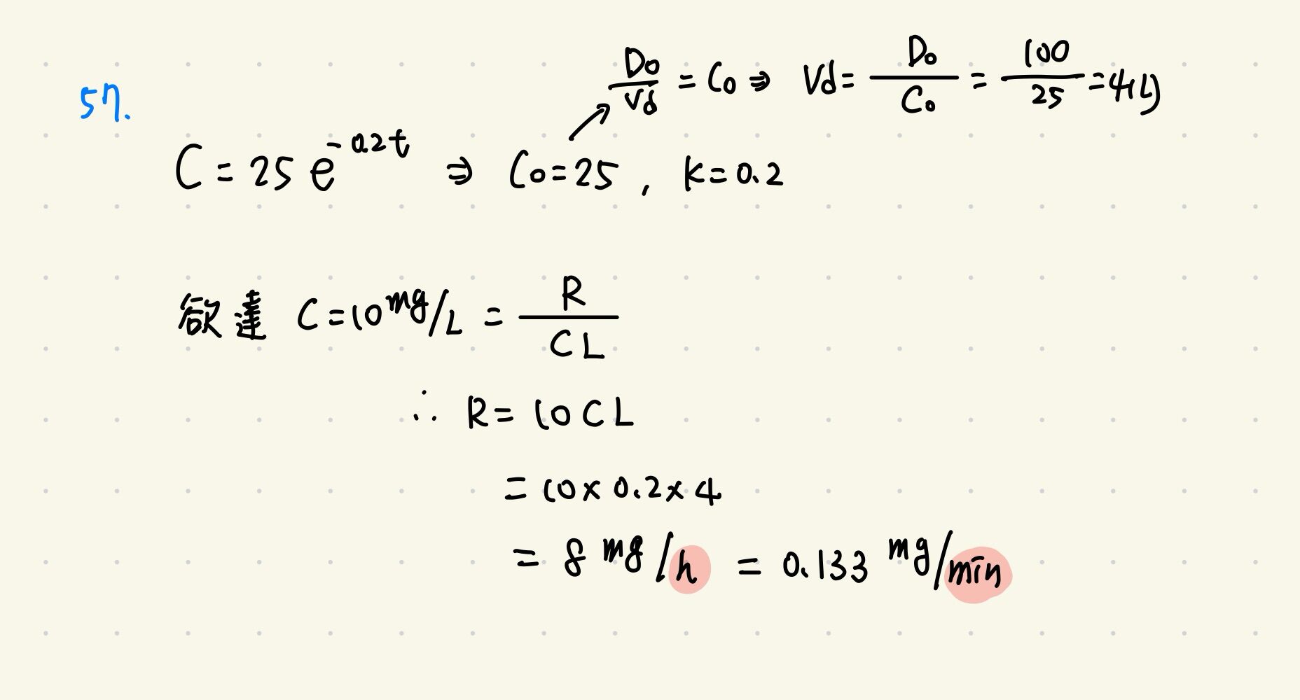
57.某抗生素經單次靜脈注射100 mg後,血中濃度變化曲線為C=25e-0.2t ,若改以靜脈輸注給藥,而欲達血中治療濃度為 10 mg/L時,則其所需之輸注速率(mg/min)應為若干?(C:mg/L;t:hr)
(A)0.13
(B)0.33
(C)8
(D)33.3
正確答案:登入後查看

詳解 (共 8 筆)

推薦的詳解#6172921
未解鎖


(共 1 字,隱藏中)
前往觀看
40
0
推薦的詳解#6178227
未解鎖
先求分布體積Vd: 單次靜脈注射100 ...
(共 622 字,隱藏中)
前往觀看
14
1
推薦的詳解#6176007
未解鎖
此題藉由單次靜脈注射的公式,得出K值是0...

(共 66 字,隱藏中)
前往觀看
10
1
推薦的詳解#6175852
未解鎖
注意單位陷阱! 考試的時候除了算出來的答...
(共 81 字,隱藏中)
前往觀看
9
0
推薦的詳解#6176390
未解鎖


(共 1 字,隱藏中)
前往觀看
9
1
推薦的詳解#6175898
未解鎖



(共 2 字,隱藏中)
前往觀看
8
3
推薦的詳解#6185219
未解鎖
大家對選項要有敏銳度,看到數字差這麼多就...

(共 35 字,隱藏中)
前往觀看
5
1
推薦的詳解#6198754
未解鎖


(共 1 字,隱藏中)
前往觀看
2
0