6. 下列敘述何者正確:
(A)正子蛻變時,母核和子核互為同位素
(B)正子蛻變時,母核的中子數比子核多 1
(C)要產生正子蛻變,母核原子的質量必須比子核原子的質量至少多 2 個電子的質量
(D)正子產生互毀作用(annihilation)時,會產生 2 個 1.02 MeV 能量的光子
答案:登入後查看
統計: A(3), B(12), C(47), D(4), E(0) #3195773
統計: A(3), B(12), C(47), D(4), E(0) #3195773
詳解 (共 1 筆)
#6018066

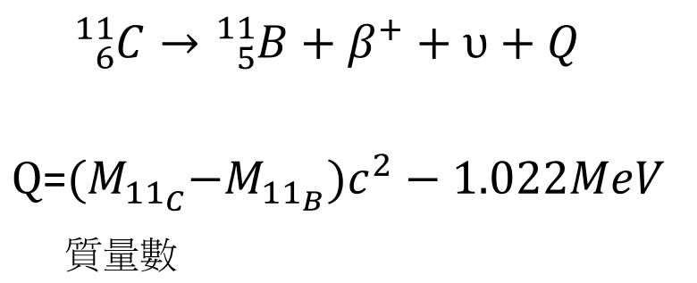
從11C的beta+衰減中,可以得知
(A)正子衰變,母核和子核為同重素,而不是同位素,兩者的原子序並不相同
(B)正子衰變,母核的中子數(=5)比子核(=6)少1
(C)母核質量數要比子核質量數多1.022MeV(2個電子質量),才會發生作用
p.s.敘述應該用2個電子能量會比較好一點
(D)互毀作用會產生2個511keV的光子
9
0