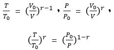
6. 假設壓縮前氣體之體積為 V0,壓力為 P0,溫度為 T0,斷熱壓縮後之體積為 V,壓力為 P,溫度為 T,而 r=恆壓比熱/恆容比熱,試問下列公式何者為對?
(A)P/P0=(V0/V)r
(B) P/P0=(V0/V)r-1
(C) P/P0=(V0/V)1-r
(D) P/P0=(V0/V)-(1-r)
答案:登入後查看
統計: A(220), B(155), C(157), D(30), E(0) #2546569
統計: A(220), B(155), C(157), D(30), E(0) #2546569
詳解 (共 2 筆)
#4786079

6
0
#4625827
十版p80
0
0