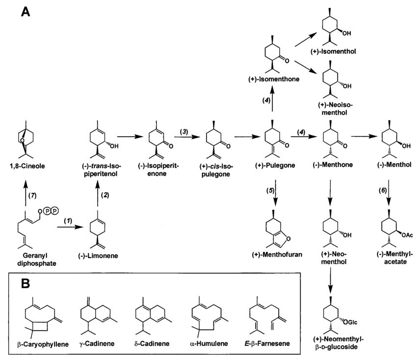
60.下列有關薄荷中單萜類(monoterpenoid)生合成的敘述,何者正確?
(A) (+)-pulegone為(+)-menthofuran之前驅物
(B) (+)-neomenthol為(-)-menthol之前驅物
(C) (-)-menthone為(+)-isomenthol之前驅物
(D) (+)-isomenthone為(+)-pulegone之前驅物

(A) (+)-pulegone為(+)-menthofuran之前驅物
(B) (+)-neomenthol為(-)-menthol之前驅物
(C) (-)-menthone為(+)-isomenthol之前驅物
(D) (+)-isomenthone為(+)-pulegone之前驅物
答案:登入後查看
統計: A(2962), B(623), C(1681), D(732), E(0) #882767
統計: A(2962), B(623), C(1681), D(732), E(0) #882767
詳解 (共 9 筆)
#1601896
(-)-limenene --> (+)-pulegone
(+)-pulegone --> (-)-menthone --> (-)-menthol、(+)-neomenthol 檸檬蹲著說--不爽--沒說、你又沒說
(+)-pulegone --> (+)-menthofuran
(+)-pulegone --> (+)-isomenthone --> (+)-isomenthol、(+)-neoisomenthol
315
1
#4444256
其實只要知道pulegone是大家的前驅物就可以了
51
1
#1222956
33
0
#3491311
我覺得這題可以憑著有機化學去猜
(B) (+)-neomenthol為(-)-menthol之前驅物
(C) (-)-menthone為(+)-isomenthol之前驅物
(A) (+)-pulegone為(+)-menthofuran之前驅物
大家不覺得這個結構的轉變有點像McLaffery重排反應嗎~
(不過其實應該算是合環反應,因為有兩個雙劍中間隔著一個單鍵,可以共振反應)
(B) (+)-neomenthol為(-)-menthol之前驅物
以相同系列的化合物來說 (不是pulegone->menthone這種)
OH基的光學改變基本上不會是彼此的前驅物 (在各種植物合成光學通常會是固定的)
(C) (-)-menthone為(+)-isomenthol之前驅物
解釋同B選項
(D) (+)-isomenthone為(+)-pulegone之前驅物
(D) (+)-isomenthone為(+)-pulegone之前驅物
四級碳->三級碳的機率比較大,D選項為三級碳->四級碳,這個的機率比較低
所以這樣看可以得到A選項應為正解的機率最大
25
0
#4503157
歐薄荷(Mentha piperita)栽培,日照不足時產生較多甜膩氣味成分:(+)-menthofuran
來自網學校國考出題老師考試題目
15
1
#3136734

https://www.researchgate.net/figure/A-Outline-of-monoterpene-biosynthesis-in-peppermint-glandular-trichomes-The-enzymes_fig3_12598884
3
0