7. 下列何者的燃燒下限最高?
(A) 一氧化碳
(B) 二硫化碳
(C) 甲烷
(D) 甲醇
答案:登入後查看
統計: A(656), B(355), C(423), D(309), E(0) #1964821
統計: A(656), B(355), C(423), D(309), E(0) #1964821
詳解 (共 8 筆)
#3402255
不管,雖然我們答案有出入,但,這條我還是要算過去才行。= =+
45
0
#4327045
燃燒消耗氧氣莫耳數越少,燃燒下限越高
9
0
#5375605

8
0
#3338658
?
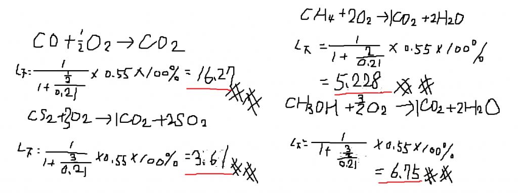
5 試以化學理論濃度的方法,計算甲醇的燃燒下限?
(A)36%
(B)5.2%
(C)6.8%
(D)7.5%
統計: A(41),B(200),C(237),D(56),E(0) #783598
個人: 尚未作答
個人: 尚未作答
8
0
#3819959
十版P64頁
3
0