7. 李強生同學目前是高中三年級的應屆畢業生,他已申請到四年的醫學院就 讀。他想預估未來修讀醫學院的學費,已知第一年學費是$45,000,而且以 後每年學費將成長 6%。如果李同學把錢存入銀行帳戶,每年可賺取 8%的利 息,則他唸四年醫學院學費成本的現值是:
(A)$149,045
(B)$155,930
(C)$162,093
(D)$171,248
答案:登入後查看
統計: A(1), B(7), C(10), D(1), E(0) #2135117
統計: A(1), B(7), C(10), D(1), E(0) #2135117
詳解 (共 1 筆)
#5572119
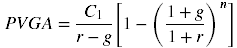
成長年金現值

PVGA =成長年金現值
C 1 =第一筆付款
r =每期利率
g =每期的不變增長率
n =期數
45000/8%-6%[1-(1+6%/1+8%)4]=162093.93

PVGA =成長年金現值
C 1 =第一筆付款
r =每期利率
g =每期的不變增長率
n =期數
45000/8%-6%[1-(1+6%/1+8%)4]=162093.93
0
0