73.已知某藥分布體積為 10 L,半衰期為 8 小時,若分別依下列四種快速靜脈注射方式給同一病人,至穩定狀態
時,每次投藥間隔之血中濃度曲線下面積何者最大?
(A)100 mg Q4H
(B)200 mg Q8H
(C)400 mg Q12H
(D)500 mg Q24H
答案:登入後查看
統計: A(179), B(148), C(1592), D(2713), E(0) #2624238
統計: A(179), B(148), C(1592), D(2713), E(0) #2624238
詳解 (共 9 筆)
#4892182
請問一下,為什麼如果題目說每天投藥間隔之血中濃度曲線下面積,答案是C呢?
24
4
#6007057
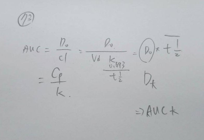
因為是[線性藥動]
所以在多次劑量給藥中,[單次給藥的AUC=達Css後一次給藥間隔的AUC]
因此Do/Cl=AUC=達Css後一次給藥間隔的AUC
-----答案選D-----
圖引用自維基百科
13
0
#6397605
這題真的很機車
題目是問間隔時間AUC
不是Css誰大
雖然C.400 mg Q12H可以達到最高的Css,但題目問間隔時間AUC
以C來看,就是12小時這個間隔的AUC
以D來看,是24小時這個間隔的AUC
ㅤㅤ
一次給藥0~無限AUC=間隔給藥AUC
ㅤㅤ
所以
C的12小時間隔的AUC=一次給400 mg,時間由0~無限的AUC
D的24小時間隔的AUC=一次給500 mg,時間由0~無限的AUC
所以D比較大,出題老師真的很狠太無情了

6
1
#4526853
因為半衰期一樣,所以AUC跟劑量成正比

5
9
#5479630
只跟Dose有關
3
5