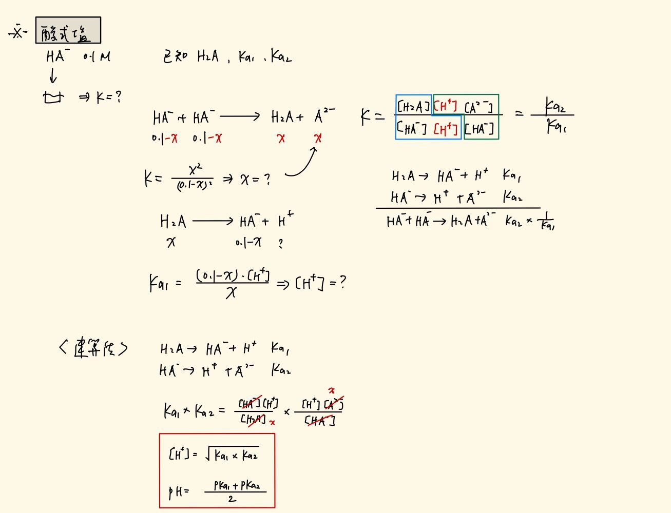
8. H3PO4分子具有三個酸解離常數,分別為 Ka1、Ka2、Ka3,在 25.0℃ 時,其 pKa1 = 2.12、pKa2 =7.20、pKa3 =12.32,則 0.10 M NaH2PO4水溶液的 pH 值是多少?
(A) 3.60
(B) 4.10
(C) 4.66
(D) 9.76

答案:登入後查看
統計: A(29), B(45), C(386), D(34), E(0) #2002426

詳解 (共 5 筆)

#3398734
1)首先要知道H3PO4是三質子酸,又看...
(共 390 字,隱藏中)
前往觀看
28
0
#5788350
9
0
#4647617
如果考 0.10 mole NaH2PO...
(共 40 字,隱藏中)
前往觀看
5
3
#7184575
對於磷酸($H_3PO_4$)這類多質...
(共 4328 字,隱藏中)
前往觀看
4
0
#3395529
(pka1+pka2)/2
(共 15 字,隱藏中)
前往觀看
0
1

私人筆記 (共 2 筆)

私人筆記#2089797
未解鎖
.

(共 1 字,隱藏中)
前往觀看
11
0
私人筆記#3993097
未解鎖


(共 0 字,隱藏中)
前往觀看
6
1