84. Five molecules are shown as below. Which one has the highest ionic strength?
(A) B(OH)3
(B) HNO3
(C) Na2HPO4
(D) CaCO3
(E) BaSO4

答案:登入後查看
統計: A(7), B(0), C(35), D(7), E(6) #2751699

詳解 (共 2 筆)

#5382307


(共 1 字,隱藏中)
前往觀看
10
5
#5012831

611a371480dde.jpg , 沉澱的(DE)一般不考慮

1
0

私人筆記 (共 3 筆)

私人筆記#5740344
未解鎖
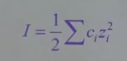
    ionic strength(...
(共 250 字,隱藏中)
前往觀看
11
0
私人筆記#5696131
未解鎖


(共 0 字,隱藏中)
前往觀看
10
0
私人筆記#7522628
未解鎖
110年 - 110 學士後醫學系招...
(共 333 字,隱藏中)
前往觀看
4
0