阿摩線上測驗
登入
首頁
>
輻射防護師◆游離輻射防護專業
>
108年 - 108-1 行政院原子能委員會_輻射防護師:游離輻射防護專業#76101
> 申論題
題組內容
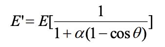
4. 光子和物質產生康普吞效應時,散射光子能量(E’)和入射光子能量(E)之關係式為
(a) 試述α和θ代表的意義。
相關申論題
1. 假若 200 MeV 動能之質子在水中的射程為 25.5 g/cm2 ,300 MeV 動能之質子在水中的 射程為 50.6 g/cm2,試估計其穿透 30 cm 厚之水牆所需要的最小能量( MeV)?
#307874
2. 以 203Hg 標記硝酸汞溶液 Hg(NO3)2,汞的比活度為 6 × 105 Bq/mL。假設汞在溶液中的 濃度是 10 mg/mL,(a)試求 203Hg 在 Hg 中的比率為多少? (b) Hg(NO3)2 的比活度為多 少 Bq/g? ( 203Hg 半化期為 46.5 天,Hg 分子量為 200,Hg(NO3)2 分子量為 324.63)
#307875
3. 放射性核種 198Au 的衰變訊息如下表,請利用所提供的訊息畫出衰變圖(decay scheme)。
#307876
(b) 137Cs 會放出 662 keV 的光子,求 NaI(Tl) 偵檢器所測得回散射峰(backscattered radiation peak)及康普吞邊緣(Compton edge)的能量分別為何?
#307878
5. 有一部百萬伏 X 光機,在水泥板主屏蔽後離射源 5 米處的劑量率須小於 0.5 μGy/h 。設 機器的工作負荷為 200 cGy.m2 /week (每週開 5 天,每天使用 8 小時)、該處的使用因 子為 1、人員在該處的占用因數為 1/4,X 射線的平均能量為 3 MeV,下圖為 X 射線穿 過水泥板的穿透率圖,求主輻射屏蔽的穿透率為多少?厚度至少為多少公分?
#307879
6. 請解釋(a)游離輻射對細胞的間接作用(indirect action)及(b)相對生物效能(relative biological effectiveness, RBE)。
#307880
7. 若初步計數樣品與背景,得到背景值約是 125 cpm,樣品(扣除背景之淨計數)約是 1875 cpm,今須於有限之測量時間 40 分鐘內再進行計測,為使統計誤差最小,試問(a)背景 及(b)樣品(含背景)計測各應分配多少分鐘?
#307881
7. 如果一個試樣在 5 分鐘內總計數的相對偏差為 2.5%,試問欲將其降低到 0.5%,則總計數時間為多少分鐘?
#554457
6. 請參考 137Cs 之衰變圖,估算 100 mCi 之 137Cs 點射源 1.7m 處的空氣劑量率(mGy/h)與 曝露率(mR/h)。(已知 0.662 MeV 光子在空氣中之 =0.0027 m2 kg-1 )
#554456
5. 有一輻射工作人員以厚度為 1 mg/cm2 塑膠窗的游離腔度量 210Po 射源,210Po 的α能量為 5.3 MeV,此α粒子在塑膠窗內的射程是 5.1 mg/cm2。如果每分鐘有 1200 個來自 210Po 的α粒子進入游離腔後完全沉積能量,請計算α粒子造成的游離電流將是多少安培( A )? (假設α粒子產生一個離子對需要 35 eV 的能量)
#554455
相關試卷
114年 - 114-2 行政院原子能委員會_輻射防護師:游離輻射防護專業#132414
114年 · #132414
114年 - 114-1 行政院原子能委員會_輻射防護師:游離輻射防護專業#126999
114年 · #126999
113年 - 113-2 行政院原子能委員會_輻射防護師:游離輻射防護專業#124951
113年 · #124951
113年 - 113-1 行政院原子能委員會_輻射防護師:游離輻射防護專業#122515
113年 · #122515
112年 - 112-2 行政院原子能委員會_輻射防護師:游離輻射防護專業#118668
112年 · #118668
112年 - 112-1 行政院原子能委員會_輻射防護師:游離輻射防護專業#114279
112年 · #114279
111年 - 111-2行政院原子能委員會_輻射防護師:游離輻射防護專業#111457
111年 · #111457
111年 - 111-1 行政院原子能委員會_輻射防護師:游離輻射防護專業#108401
111年 · #108401
110年 - 110-2 行政院原子能委員會_輻射防護師:游離輻射防護專業#103867
110年 · #103867
110年 - 110-1 行政院原子能委員會_輻射防護師:游離輻射防護專業#98729
110年 · #98729