阿摩線上測驗
登入
首頁
>
研究所、轉學考(插大)-資料結構
>
110年 - 110 國立中央大學_碩士班招生考試_資訊管理暨大數據分析類:資料結構#103860
> 申論題
題組內容
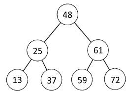
4. Binary tree is another popular data structure.
(a) According to the binary tree shown below, please provide final results of pre-order (3%), in-order (3%), and post-order (3%) traversals.
相關申論題
(a) Please show the process in detail and the result of Quick Sort (use pivot). (6%)
#439454
(b) Please show the process in detail and the result of Bubble Sort. (6%)
#439455
(c) Please show the process in detail and the result of Heap Sort. (6%)
#439456
(d) Please use the hash function h(m)=m%11 and linear probing collision resolution to create a hash table with 11 elements. Then, show this bash table. (7%)
#439457
(a) What is the maximum number of leaves? (1%)
#439458
(b) Prove your answer to (a). (8%)
#439459
(a) Please briefly explain linked list (3%) and doubly linked list (3%) by drawing their structures.
#439460
(b) Please use C code (ANSI C) to implement corresponding functions for inserting node at the head of linked list(4%) and doubly linked list(5%).
#439461
(b) As mentioned above, please use C code (ANSI C) to implement corresponding functions for printing visited elements by using pre-order(3%), in-order (3%), and post-order (3%).
#439463
(a) It is common to implement the DFS algorithm with a Stack. However, the stack may be used differently in different implementations. You are tasked to implement the DFS algorithm for any given graphs. Explain how you are going to use the stack in your implementation.(7%)
#439464
相關試卷
110年 - 110 國立臺灣科技大學_碩士班招生試題_電子工程系:資料結構#112844
110年 · #112844
110年 - 110 國立高雄科技大學_碩士班招生考試_電腦與通訊工程系:資料結構(乙組)#110488
110年 · #110488
110年 - 110 國立高雄科技大學_碩士班招生考試_資訊工程系:資料結構#110422
110年 · #110422
110年 - 110 國立中山大學_碩士暨碩士專班招生考試_資管系/乙組:資料結構#105545
110年 · #105545
110年 - 110台灣聯合大學系統_碩士班招生考試_電機類:資料結構#104954
110年 · #104954
110年 - 110 國立中央大學_碩士班招生考試_資訊管理暨大數據分析類:資料結構#103860
110年 · #103860
110年 - 110 國立政治大學_碩士班招生考試_資訊管理學系/科技組:資料結構#102881
110年 · #102881
110年 - 110 國立臺灣大學_碩士班招生考試_生物機電工程學研究所丙組:資料結構(C)#100901
110年 · #100901
110年 - 110 國立臺灣大學_碩士班招生考試_ 工程科學及海洋工程學研究所丁組:資料結構(A)#100759
110年 · #100759
109年 - 109 國立高雄大學_碩士班招生考試_資訊工程學系:資料結構#103082
109年 · #103082