阿摩線上測驗
登入
首頁
>
研究所、轉學考(插大)-微積分
>
111年 - 111 國立高雄師範大學_轉學生招生考試試題_電機工程學系二年級:微積分#116291
>
題組內容
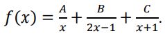
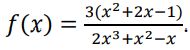
4. Let
Decompose the function into
.
(a) Find the values of A, B and C. (3%)
其他申論題
(b) Sketch the graph of the first derivative ℎ' (x) where ℎ(x) = |x − 1| + |x + 2|. (5%)
#496772
(a) (5%)
#496773
(b) (5%)
#496774
3. Show the area enclosed by the ellipse = 1 in Fig. 1 is 6π. (10%)
#496775
(b) Evaluate the indefinite integral ∫ f(x)dx. (7%)
#496777
(a) Prove that the inequality holds for any function f(x) that is continuous on [a, b]. (5%)
#496778
(b) Show thatdx . (5%)
#496779
6. Evaluate . (10%)
#496780
7. Find the point on the parabola y2 = 2x that is closest to the point (1, 4). (10%)
#496781
8. The region ℛ enclosed by the curves y = x and y = x2is rotated about the x-axis. Find the volume of the resulting solid. (10%)
#496782