所屬科目:研究所、轉學考(插大)-微積分
(a) Find an equation of the tangent line to the curve y = at the given point (1, −1). (5%)
(a) (5%)
(b) (5%)
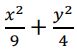
3. Show the area enclosed by the ellipse = 1 in Fig. 1 is 6π. (10%)
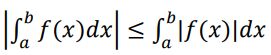
(a) Prove that the inequality holds for any function f(x) that is continuous on [a, b]. (5%)
(b) Show thatdx . (5%)
6. Evaluate . (10%)
9. The curve y = , −1 ≤ x ≤ 1, is an arc of the circle x2 + y2 = 4. Find the area of the surface obtained by rotating this arc about the x-axis. (10%)