阿摩線上測驗
登入
首頁
>
自動控制學
>
96年 - 096年身心障礙人員自動控制#50509
> 申論題
申論題
試卷:96年 - 096年身心障礙人員自動控制#50509
科目:自動控制學
年份:96年
排序:0
申論題資訊
試卷:
96年 - 096年身心障礙人員自動控制#50509
科目:
自動控制學
年份:
96年
排序:
0
題組內容
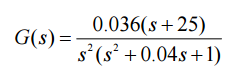
五、對於以下的傳遞函數,
申論題內容
⑴繪出根軌跡(Root locus)。(10 分)