阿摩線上測驗
登入
首頁
>
自動控制學
> 96年 - 096年身心障礙人員自動控制#50509
96年 - 096年身心障礙人員自動控制#50509
科目:
自動控制學 |
年份:
96年 |
選擇題數:
0 |
申論題數:
10
試卷資訊
所屬科目:
自動控制學
選擇題 (0)
申論題 (10)
⑴試推導傳遞函數(transfer function)。(10 分)
⑵試利用⑴得到的傳遞函數,求出單位步階響應(unit-step response)。(10 分)
【已刪除】二、對於圖示電路,試推導從u 至 i 的傳遞函數。(10 分)
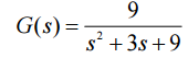
【已刪除】三、求出下列系統的阻尼比(damping ratio)和自然頻率(natural frequency)。(10 分)
四、如果設置領先補償器(lead compensator),對於波德圖(Bode plot)顯示出來的性 能會有什麼影響?(10 分)
⑴繪出根軌跡(Root locus)。(10 分)
⑵繪出波德圖。(10 分)
⑴使用勞斯準則(Routh criteria)決定使該系統穩定之 K 的區間。(10 分)
⑵試求出根軌跡與虛數軸(imaginary axis)相交的交點。(10 分)
【已刪除】七、已知一個單位回饋系統(unity-feedback system),其中受控廠的傳遞函數為
試求系統型式(system type)與速度誤差常數(velocity error constant)。(10 分)
相關試卷
114年 - 114 高等考試_二級_機械工程:自動控制學#131590
114年 · #131590
114年 - 114 關務特種考試_三等_機械工程(選試英文):自動控制#126653
114年 · #126653
113年 - 113-2 國營臺灣鐵路股份有限公司_從業人員甄試_第8階-助理工程師-電機:自動控制#137141
113年 · #137141
113年 - 113 高等考試_二級_機械工程:自動控制學#123065
113年 · #123065
113年 - 113 關務特種考試_三等_機械工程(選試英文):自動控制#119475
113年 · #119475
112年 - 112 地方政府特種考試_三等_機械工程:自動控制#118354
112年 · #118354
112年 - 112 高等考試_二級_機械工程:自動控制學#116760
112年 · #116760
112年 - 112 高等考試_三級_機械工程:自動控制#115741
112年 · #115741
112年 - 112 關務特種考試_三等_機械工程:自動控制#113920
112年 · #113920
111年 - 111 地方政府特種考試_三等_機械工程:自動控制#112361
111年 · #112361