阿摩線上測驗
登入
首頁
>
通訊概論
>
104年 - 104 一般警察特種考試_二等_刑事警察人員電子偵察組:通訊概論#43026
> 申論題
題組內容
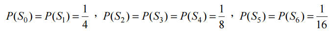
五、一個離散無記憶信號源包含 7 符元,其發生機率為:
⑴請建構具有最小變異量之哈夫曼碼,且計算此哈夫曼碼之平均碼長度,並證明其 為唯一的可解碼。(10 分)
相關申論題
⑴請說明最佳化接收機之定義,並畫出最佳化接收機之方塊圖。(10 分)
#137232
⑴請用 DPSK 最佳化接收機之決策法則,描述最大似然法則。(10 分)
#137234
⑴請計算 QPSK 通訊系統之頻譜效率,並列出接收機觀測區間。(10 分)
#137238
⑵當訊雜比很大時,請計算 QPSK 平均符元錯誤率(symbol error rate)。(10 分)
#137239
⑵請計算平均碼長度。(10 分)
#137241
⑵何謂取樣定理( Sampling theorem)及倪奎斯取樣頻率(Nyquist sampling frequency)?試舉例及繪圖說明之。
#195632
⑴比較 PAM、PWM 及 PPM 三種脈波調變系統的特點?試繪圖說明之。
#195631
⑵脈衝編碼調變(PCM)的三大步驟為何?試繪圖說明之。
#195630
⑴為何雙旁波帶抑制載波(DSB-SC)調變中,載波信號的頻率 fc 至少要大於 2 倍信號 頻寬 2 fm,才能保證解調後能檢出原始信號而不產生失真?試繪圖說明之。
#195629
⑵行動通訊系統進行無線通訊的溝通之技術,稱為多重存取技術(Multiple-Access technique),行動通訊系統經常採用的基本多工技術有那些?試繪圖說明之。
#195628
相關試卷
105年 - 105 一般警察特種考試_二等_刑事警察人員電子偵察組:通訊概論#53363
105年 · #53363
104年 - 104 一般警察特種考試_二等_刑事警察人員電子偵察組:通訊概論#43026
104年 · #43026
103年 - 103 一般警察特種考試_二等_刑事警察人員電子偵察組:通訊概論#43456
103年 · #43456
102年 - 102 一般警察特種考試_二等_刑事警察人員電子偵察組:通訊概論#44282
102年 · #44282
101年 - 101 一般警察特種考試_二等_刑事警察人員電子偵察組:通訊概論#44925
101年 · #44925
100年 - 100 一般警察特種考試_二等_刑事警察人員電子偵察組:通訊概論#45815
100年 · #45815