題組內容
二、假 設 x(t ) 與 y(t ) 分 別 為 線 性 非 時 變 ( linear time-invariant, LTI) 系 統 的 輸 入 訊 號 與 輸 出 訊 號 , 已 知 若
,則
, 其 中 t0 為 常 數 。 請 回 答 以 下 的 問 題 :
(一)如果輸出訊號為 y(t ) = A cos(2π f0t ),A 為常數,請求輸入訊號 x(t ) 以及 t0 。(10 分)
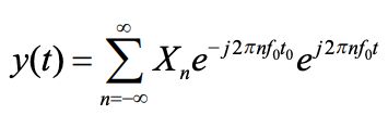
二、假 設 x(t ) 與 y(t ) 分 別 為 線 性 非 時 變 ( linear time-invariant, LTI) 系 統 的 輸 入 訊 號 與 輸 出 訊 號 , 已 知 若
,則
, 其 中 t0 為 常 數 。 請 回 答 以 下 的 問 題 :
(一)如果輸出訊號為 y(t ) = A cos(2π f0t ),A 為常數,請求輸入訊號 x(t ) 以及 t0 。(10 分)